Secara bahasa, pengertian turnover karyawan adalah pergantian atau perputaran. Istilah ini sering dikaitkan dalam pekerjaan, sebab dalam sebuah perusahaan pergantian karyawan dengan karyawan lain adalah hal yang lumrah.
Istilah turnover juga mengacu kepada karyawan yang mengundurkan diri, meninggalkan perusahaan atau resign yang dilakukan karena kemauan sendiri ataupun karena keputusan perusahaan kemudian digantikan oleh karyawan baru.
Pengertian Turnover Karyawan
Untuk melengkapi, pengertian turnover secara spesifik kami menuliskan beberapa pengertian turnover menurut para ahli, sebagai berikut:
Employee turnover adalah ukuran jumlah atau persentase karyawan yang meninggalkan perusahaan dan digantikan oleh karyawan baru. Perhitungan turnover dapat membantu dalam menemukan alasan-alasan karyawan meninggalkan perusahaan dan dapat dijadikan acuan dalam memperkirakan biaya untuk rekrutmen baru (Ruth Mayhew, 2019).

Tingkat Turn Over karyawan adalah jumlah karyawan yang mengundurkan diri dalam periode satu tahun (Soemohadiwidjojo, 2017).
Berapa Turn over Karyawan yang Ideal?
Menurut literatur yang ada, bahwa angka turnover perusahaan yang telah mencapai 10%, menandakan bahwa angka ini tergolong tinggi. Jadi, bisa dikatakan bahwa turn over karyawan yang ideal adalah dibawah angka 10%.
Namun, angka ideal turn over karyawan pada beberapa industri berbeda satu sama lain. Perbedaan ini terjadi karena perbedaan karakter bisnis satu sama lain. Dikatakan bahwa angka turnover di industri retail terbilang lebih tinggi dibandingkan dengan yang lain. Ada juga yang menyatakan bahwa angka turnover yang tinggi terjadi di sektor finansial (perbankan).
Di sektor perbankan, tercatat rasio keluar masuknya karyawan, data turnover karyawan di Indonesia mencapai 15%-20%. Ini merupakan rasio (rate) yang sangat tinggi.
Rasio atau angka turnover harus dikendalikan perusahaan agar tidak terlampau tinggi. Jika perusahaan disibukkan oleh banyaknya karyawan yang resign, maka akan berefek negatif pada biaya yang tinggi (rekrutmen dan pesangon) dan kesibukan bagian personalia mengurus proses rekrutmen. Walaupun, mencari karyawan yang sesuai dengan kemampuan yang diinginkan memang memerlukan proses seleksi dan pergantian.
Kerugian dari Turnover
Pergantian atau perputaran karyawan merupakan hal yang lumrah, namun rasio turnover yang terlampau tinggi juga berkontribusi dalam memberikan kerugian pada perusahaan. Ada beberapa kerugian jika angka turn over karyawan terlalu besar, diantaranya:
1. Rekrutmen
Proses rekrutmen karyawan baru untuk menggantikan karyawan lama menggunakan effort yang tidak sedikit. Biaya-biaya yan dikeluarkan untuk proses rekrutmen karyawan diantaranya biaya iklan lowongan kerja, screening, dan wawancara.
2. Training (Pelatihan)
Training karyawan dilakukan untuk meningkatkan kapasitas karyawan. Biaya training karyawan bukan harga yang murah, dan bisa dibayangkan saat angka pergantian karyawan sangat tinggi, maka biaya untuk training karyawan juga akan membengkak.
3. Produktivitas
Proses rekrutmen, training, dan keluarnya karyawan bisa mengurangi bahkan merusak kondusifitas pekerjaan. Keluar masuknya karyawan yang terlalu tinggi bisa mengganggu kinerja perusahaan secara umum, termasuk produktivitas karyawan lainnya.
Jenis-Jenis Turnover
Jenis-jenis turnover dapat dibedakan menjadi dua, yakni:
1. Turnover secara tidak sukarela
Turnover secara tidak sukarela adalah pergantian karyawan disebabkan kinerja karyawan yang buruk, ketidakhadiran, atau pelanggaran kebijakan perusahaan. Jenis turnover ini disebut pula dengan pemutusan hubungan kerja atau pemecatan. Turnover secara tidak sukarela ini bukan karena keputusan karyawan meninggalkan perusahaan, tetapi karena penghentian paksa karena melanggar ketentuaan dan kesepakatan yang ada.
2. Turnover Sukarela
Jika seorang karyawan meninggalkan perusahaan atas kemauan sendiri, ini disebut dengan turnover sukarela (voluntary employee turnover). Biasanya karyawan memberikan sejumlah alasan untuk meninggalkan pekerjaan atau resign.
Ada beberapa alasan yang memungkinkan diantaranya karena menerima pekerjaan di perusahaan lain, pindah daerah, karena masalah pribadi, dan faktor usia yang sudah memasuki masa pensiun. Saat karyawan berhenti secara sukarela, biasanya mereka akan melakukan pemberitahuan lisan atau tertulis untuk mengundurkan diri (mengajukan surat pengunduran diri).
Contoh dan Rumus Turnover
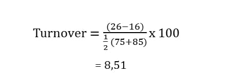
Untuk menghitung turnover karyawan, maka digunakan rumus sebagai berikut:

Tingkat turnover biasanya dinyatakan dalam persentase (%). Untuk lebih memahami rumus turnover di atas, berikut adalah contoh laporan turnover pada sebuah perusahaan.
Misalnya di Perusahaan X diketahui bahwa jumlah karyawan awal adalah 75 orang dan 85 karyawan akhir. Pada awal tahun (periode) direkrut kemudian diseleksi karyawan baru sebanyak 26 orang, namun seiring dengan proses selanjutnya terdapat 16 orang karyawan yang keluar. Maka perhitungan turn over karyawan berdasarkan rumus di atas adalah sebagai berikut:

Jadi, dapat diketahui bahwa turn over karyawan pada Perusahaan X adalah sebesar 8,51 persen dalam setahun.
Penutup
Berdasarkan pengertian turnover sebagai proses alami dan lumrah dalam perusahaan, dimana ada rasio karyawan yang masuk dan keluar, maka seorang manajer terutama bagian personalia harus berusaha agar angka turnover diminimalisir.
Baca juga: Berbagai Alasan Resign Kerja Karyawan
Angka atau jumlah karyawan yang resign bisa ditekan dengan proses rekrutmen yang tepat, sistem personalia yang baik, dan termasuk tingkat kebahagiaan dan kesejahteraan karyawan patut diperhitungkan.